• İSTANBUL
  • İMSAK
    00:00
    GÜNEŞ
    00:00
    ÖĞLE
    00:00
    İKİNDİ
    00:00
    AKŞAM
    00:00
    YATSI
    00:00
  • 0.0
  • 0.0
  • 0.0

TOKİ Samsun Canik konut kuru sonuçları!

Yeniakit Publisher
2018-07-27 14:18:00 - 2018-07-27 14:18:27
TOKİ Samsun Canik konut kuru sonuçları!

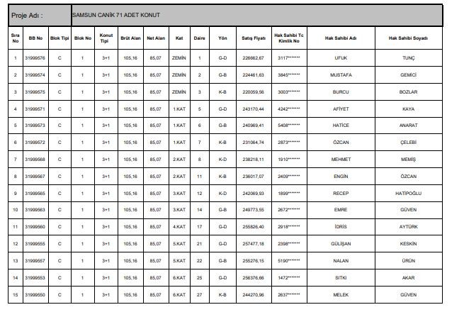
Toplu Konut İdaresi (TOKİ) dar gelirli ve orta gelirli ailelerin ev sahibi olma hayalini gerçeğe dönüştürmeye devam ediyor. Türkiye genelinde birbirinden muhteşem projelere ev sahipliği yapan TOKİ Samsun Canik 71 konut projemiz, 25 Temmuz – 31 Ağustos 2018 tarihleri arasında hak sahiplerine teslim edilecektir.

Toplu Konut İdaresi (TOKİ) dar gelirli ve orta gelirli ailelerin ev sahibi olma hayalini gerçeğe dönüştürmeye devam ediyor. Türkiye genelinde birbirinden muhteşem projelere ev sahipliği yapan TOKİ Samsun Canik 71 konut projemiz, 25 Temmuz – 31 Ağustos 2018 tarihleri arasında hak sahiplerine teslim edilecektir.

SAMSUN CANİK TOKİ KURA SONUÇLARI İÇİN TIKLAYINIZ

x

WhatsApp İhbar Hattı

+90 (553) 313 94 23