• İSTANBUL
  • İMSAK
    00:00
    GÜNEŞ
    00:00
    ÖĞLE
    00:00
    İKİNDİ
    00:00
    AKŞAM
    00:00
    YATSI
    00:00
  • 0.0
  • 0.0
  • 0.0

Şanlıurfa'da TOKİ konutları için kura çekimi yapıldı! Ş.Urfa Akabe konutları hak sahipleri

Yeniakit Publisher
2018-08-03 18:08:00 - 2018-09-23 12:32:15
Şanlıurfa'da TOKİ konutları için kura çekimi yapıldı! Ş.Urfa Akabe konutları hak sahipleri

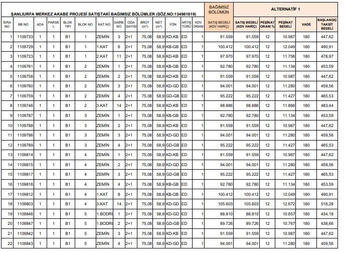
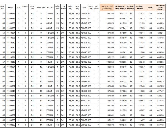
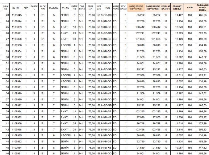
TOKİ Şanlıurfa Küçükler’de (Akabe) inşa edilen 315 konut alt gelir grubu projesinde yer alan 72 konut kura yöntemi ile satışa sunuldu. 16 Temmuz 2018 - 27 Temmuz 2018 tarihleri arasında vatandaşlarca başvurular yapıldı. Şanlıurfa TOKİ Küçükler Akebe kura çekimleri ise 3 Ağustos’ta yapılacak.

TOKİ Şanlıurfa Küçükler’de (Akabe) inşa edilen 315 konut alt gelir grubu projesinde yer alan 72 konut kura yöntemi ile satışa sunuldu. 16 Temmuz 2018 - 27 Temmuz 2018 tarihleri arasında başvurular yapıldı. Şanlıurfa TOKİ Küçükler Akebe kura çekimleri ise 3 Ağustos’ta yapılacak.

TOKİ URFA AKABE KONUTLARI KURA SONUÇLARI İÇİN TIKLAYINIZ

ŞANLIURFA KÜÇÜKLER AKABE TOKİKİ BAŞVURU ŞARTLARI:

T.C. vatandaşı olması,

Başvurulan projenin bulunduğu il sınırları içerisinde 1 (bir) yıldan az olmamak koşulu ile ikamet ediyor olması

veya il nüfusuna kayıtlı olması,

Başvuru sahibinin kendisinin, eşinin ve velayeti altındaki çocuklarının Toplu Konut İdaresinden konut satın

almamış olması ve tapuda kayıtlı kat irtifaklı/kat mülkiyetli bağımsız bir bölümün veya müstakil konutunun

bulunmaması (tarla, bağ, bahçe, köyevi ve işyeri hariç)

Başvuru tarihi itibariyle 25 yaşını doldurmuş olması gerekmekte olup, ancak,

Eşi vefat etmiş olan çocuklu dul bayanlarda yaş şartı aranmamaktadır.

Aylık hane halkı gelirinin, en fazla net 4500.00TL olması, (Başvuru sahibinin, eşinin ve velayeti altındaki

çocuklarının gıda, yol, vs. her türlü aldıkları yardımlar dahil olmak üzere toplam hane halkı aylık net gelirinin en

fazla 4.500.00TL olması gerekmektedir.)

Bir hane halkı adına, yani kişinin kendisi, eşi ve velayeti altındaki çocukları adına yalnızca bir adet

başvuru yapılabilecektir. Birden fazla başvuru yapılması halinde başvurular geçersiz sayılacaktır.

BAŞVURU İŞLEMLERİ, GEREKLİ BELGELER ve BAŞVURU BEDELİ İADESİ:

Nüfus Cüzdanı fotokopisi,

Ayrıca,

Başvuru Formu,

Kategorisine göre yetkili banka şubelerinden 2 nüsha olarak temin edilecektir,

Banka tarafından numaralandırılarak teslim alınacak ve 1 nüsha da başvuru sahibine geri verilecektir.

3. Başvuru işlemleri sırasında alıcı adaylarından başvuru sırasında başvuru bedeli alınacaktır.

Başvuru Bedellerinin İade Edilmesi:

Kurada, asil ve yedek olarak hak sahibi olamayanlar 07 Ağustos 2018 tarihinden itibaren,

 Kura sonucu konut satın alma hakkı kazanan ancak sözleşme imzalamayan asil hak sahipleri başvuru bedellerini

15 Ağustos 2018 tarihinden itibaren,

Yedek hak sahipleri 31 Ağustos 2018 tarihinden itibaren T. Halk Bankası AŞ. yetkili Şube’lerinden geri

Başvuru Formu ile yukarıda yer alan belgeler eksiksiz olarak Bankaya teslim edilecektir. Eksik evrak ibraz

edenler kuraya katılma haklarını kaybedeceklerdir.

ÖDEME BİLGİLERİ:

Peşinat ve Vade Seçenekleri:%12 peşinat bedeli için 180 ay vade

Taksit Ödeme Başlangıç Tarihi: Konut teslim tarihini takip eden ay

Taksit Ödeme Periyodu: Ayda bir

Borç Bakiyesi Güncelleme Periyodu: Yılda iki kez (altı ayda bir, Ocak –Temmuz)

Güncelleme Oranı: Bir önceki 6 aylık dönemdeki, Memur maaş artış oranı, Yİ-ÜFE ve TÜFE oranlarından en

düşük olan (Şehit Ailesi Kategorisi hariç)

İlk Dönemsel Artış Tarihi: Konut teslim tarihine göre İDARE’ce belirlenecektir.

x

WhatsApp İhbar Hattı

+90 (553) 313 94 23