Hizmet değil "soygun" yönetimi: CHP'li belediyede "hayalet personel" rezaleti
CHP'li Mersin Yenişehir Belediyesi'ne yönelik düzenlenen yolsuzluk ve rüşvet operasyonu, belediyecilik tarihine geçecek bir skandalı gün yüzüne çıkardı. Aralarında belediye başkan yardımcısının da bulunduğu 12 kişinin tutuklandığı soruşturmada; 23 ay boyunca ülkeye adım dahi atmayan bir personelin, belediye kasasından düzenli olarak maaş aldığı belirlendi.
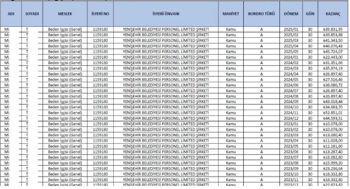
Mersin Cumhuriyet Başsavcılığı koordinesinde yürütülen operasyonda, Yenişehir Belediyesi Personel LTD. ŞTİ. bünyesinde çalışan M.T. isimli şahsın ibretlik hikayesi deşifre edildi. Yapılan incelemelerde şu çarpıcı gerçeklere ulaşıldı:
- 23 Ay Firar: M.T.'nin 4 Ekim 2023 tarihinde yurt dışına çıktığı ve bir daha ülkeye dönmediği tespit edildi.
- Haksız Kazanç: Ülkede bulunmadığı halde 2025 yılının mayıs ayına kadar tam maaş alan şahsa, toplamda 555 bin 600 TL ödeme yapıldığı ortaya çıktı.
- Örgüt Bağlantısı: "Hayalet personel"in yurt dışında terör örgütü propagandası yaptığı ileri sürüldü.
"Para iade edildiyse zarar yoktur" savunması
Operasyon kapsamında tutuklanan belediye yetkililerinin ifadeleri ise "pes" dedirtti. Eski başkan yardımcısı C.K., şahsı tanımadığını iddia ederek, "Para iade edilmişse kurum zararı da giderilmiştir" şeklinde bir savunma yaptı. Şirketin eski müdürü S.O.O. ise personelin işe gelip gitmesinden şirketin sorumlu olmadığını öne sürerek suçu diğer birimlere attı.
Operasyonun bilançosu ağır
10 Nisan'da düğmesine basılan operasyonda; ihalede yolsuzluk, rüşvet ve irtikap suçlamalarıyla gözaltına alınan 31 şüpheliden 12'si tutuklanarak cezaevine gönderildi. Mahkeme ayrıca yolsuzluk şüphelilerine ait 29 taşınmaz ve 13 araca el koyma kararı verdi.
Mersin halkının vergileriyle oluşan belediye bütçesinin, işe gelmeyen ve yurt dışında firari olan şahıslara "maaş" adı altında peşkeş çekilmesi kamuoyunda büyük tepki topladı.


