• İSTANBUL
  • İMSAK
    00:00
    GÜNEŞ
    00:00
    ÖĞLE
    00:00
    İKİNDİ
    00:00
    AKŞAM
    00:00
    YATSI
    00:00
  • 0.0
  • 0.0
  • 0.0
8
Yeniakit Publisher
13 Nisan 2020 tarihinden itibaren grafiklerle Türkiye'de koronavirüs tablosu
2020-04-13 20:17:40

13 Nisan 2020 tarihinden itibaren grafiklerle Türkiye'de koronavirüs tablosu

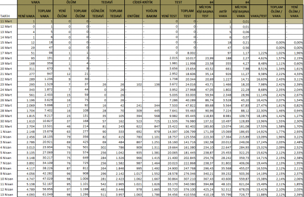
Sağlık Bakanı Fahrettin Koca, Türkiye'de yeni tip Koronavirüs (Kovid-19) nedeniyle 98 kişinin daha hayatını kaybettiğini, 4 bin 93 yeni tanı konduğunu duyurdu. Böylece toplam ölüm sayısı 1296'ya, vaka sayısı 61 bin 49'a yükseldi. Peki genel son durum nasıl?

#1
Foto - 13 Nisan 2020 tarihinden itibaren grafiklerle Türkiye'de koronavirüs tablosu

Yukarıdaki tabloya göre Türkiye'de 11 Mart'ta ilk vaka görüldü. İlk ölüm ise 15 Mart'ta yaşandı. 13 Nisan itibariyle toplam vaka sayısı 61 bin 49 olurken ölü sayısı ise 1296'ya yükseldi. Bugüne kadar tedavi edilen kişi sayısı 3 bin 957 oldu. Toplamda 410 bin 556 test yapıldı. Yoğun bakımdaki kişi sayısı ise 1786.

#2
Foto - 13 Nisan 2020 tarihinden itibaren grafiklerle Türkiye'de koronavirüs tablosu

Ülkemizde her geçen gün test sayılarının yükselmesiyle beraber vaka sayılarında da artış yaşanıyor. 11 Mart’ta 1 vaka varken, bu rakam 13 Nisan'da 61 bin 49 oldu.

#3
Foto - 13 Nisan 2020 tarihinden itibaren grafiklerle Türkiye'de koronavirüs tablosu

Yukarıda, günlük test sayıları ile vakaların artış hızı gösteriliyor. Test sayısında yaşanan artışa rağmen vaka sayıları, test sayısına oranla daha da düştüğü görülüyor.

#4
Foto - 13 Nisan 2020 tarihinden itibaren grafiklerle Türkiye'de koronavirüs tablosu

Toplam vaka ve aktif vakaların yer aldığı yukarıdaki tabloda, aktif vaka sayılarının ülkemizde giderek arttığı görülüyor.

#5
Foto - 13 Nisan 2020 tarihinden itibaren grafiklerle Türkiye'de koronavirüs tablosu

Yukarıda, iyileşen veya hayatını kaybeden vakalar sonrası halen tedavi altında olan aktif vakalar gösteriliyor. 11 Mart’ta 1 olan aktif vaka sayısı, 1 Nisan tarihinde 15 bin seviyelerine çıkarken, 13 Nisan'da 55 binin üzerine çıktı.

#6
Foto - 13 Nisan 2020 tarihinden itibaren grafiklerle Türkiye'de koronavirüs tablosu

Yukarıdaki tabloda, yeni vaka ile toplam vakanın yüzdelik karşılaştırılması yapılıyor. 13 Nisan'da yüzde 8 civarında seyrettiği görülüyor.

#7
Foto - 13 Nisan 2020 tarihinden itibaren grafiklerle Türkiye'de koronavirüs tablosu

Yeni test, toplam vaka ve yeni vakaların oranlarının gösterildiği bu tabloda, toplam vakaların yüzdelik oranının giderek yükseldiği gözlenirken yeni vaka sayısında düşüş yaşandığı görülüyor.

x

WhatsApp İhbar Hattı

+90 (553) 313 94 23