• İSTANBUL
  • İMSAK
    00:00
    GÜNEŞ
    00:00
    ÖĞLE
    00:00
    İKİNDİ
    00:00
    AKŞAM
    00:00
    YATSI
    00:00
  • 0.0
  • 0.0
  • 0.0
13
Yeniakit Publisher
Fiyatlar düştü satış rüzgarı esti! İşte 2023 yılında en çok satış yapan araba markaları...
2024-01-05 11:30:49

Fiyatlar düştü satış rüzgarı esti! İşte 2023 yılında en çok satış yapan araba markaları...

Türkiye'de 2023 yılına ilişkin araç satış istatistikleri marka marka belli oldu. Araç fiyatlarındaki dikkat çeken düşüşle satış rüzgarı esti. Bu kapsamda en çok satış yapan araba markaları merak edilenler arasına girdi. İşte 2023 yılına ilişkin satış listesi...

#1
Foto - Fiyatlar düştü satış rüzgarı esti! İşte 2023 yılında en çok satış yapan araba markaları...

Türkiye otomobil ve hafif ticari araç toplam pazarı, 2023 yılı Ocak-Aralık döneminde bir önceki yılın aynı dönemine göre W,4 oranında artarak 1.232.635 adet olarak gerçekleşti.

#2
Foto - Fiyatlar düştü satış rüzgarı esti! İşte 2023 yılında en çok satış yapan araba markaları...

OTOMOBİL SATIŞLARI YÜZDE 63,2 ARTTI Otomobil satışları, 2023 yılı Ocak-Aralık döneminde geçen yıla göre c,2 oranında artarak 967.341 adet, hafif ticari araç pazarı 9,2 artarak 265.294 adet oldu.

#3
Foto - Fiyatlar düştü satış rüzgarı esti! İşte 2023 yılında en çok satış yapan araba markaları...

İŞTE SATIŞLARDAKİ ARTIŞ Otomobil ve hafif ticari araç pazarı 2023 Aralık ayında 7,7 otomobil pazarı E,7, hafif ticari araç pazarı ise ,3 oranında arttı.

#4
Foto - Fiyatlar düştü satış rüzgarı esti! İşte 2023 yılında en çok satış yapan araba markaları...

OTOMOBİL VE HAFİF TİCARİ ARAÇ PAZARI: 2023 yılı Aralık ayı otomobil ve hafif ticari araç pazarı 2022 yılı Aralık ayına göre 7,7 artarak 158.653 adet oldu.

#5
Foto - Fiyatlar düştü satış rüzgarı esti! İşte 2023 yılında en çok satış yapan araba markaları...

İŞTE SATIŞLARDAKİ ARTIŞ Otomobil ve hafif ticari araç pazarı 2023 Aralık ayında 7,7 otomobil pazarı E,7, hafif ticari araç pazarı ise ,3 oranında arttı.

#6
Foto - Fiyatlar düştü satış rüzgarı esti! İşte 2023 yılında en çok satış yapan araba markaları...

OTOMOBİL VE HAFİF TİCARİ ARAÇ PAZARI: 2023 yılı Aralık ayı otomobil ve hafif ticari araç pazarı 2022 yılı Aralık ayına göre 7,7 artarak 158.653 adet oldu.

#7
Foto - Fiyatlar düştü satış rüzgarı esti! İşte 2023 yılında en çok satış yapan araba markaları...

2023 Aralık ayında otomobil satışları bir önceki yılın aynı ayına göre E,7 artarak 126.416 adet olurken, hafif ticari araç pazarı ,3 artarak 32.237 adet oldu.

#8
Foto - Fiyatlar düştü satış rüzgarı esti! İşte 2023 yılında en çok satış yapan araba markaları...

10 YILLIK ARALIK AYI ORTALAMASI Otomobil ve hafif ticari araç pazarı 10 yıllık Aralık ayı ortalama satışlara göre 6,7 arttı. Otomobil pazarı, 10 yıllık Aralık ayı ortalama satışlara göre D,3 artış gösterdi. Hafif ticari araç pazarı, 10 yıllık Aralık ayı ortalama satışlara göre ,1 arttı.

#9
Foto - Fiyatlar düştü satış rüzgarı esti! İşte 2023 yılında en çok satış yapan araba markaları...

EN ÇOK SATAN SEGMENT Otomobil pazarı segmentlere göre; Pazarın ?'unu vergi oranları düşük olan A, B ve C segmentlerindeki araçlar oluşturdu. C segmenti otomobiller 542.432 adetle V,1 pay, B segmenti otomobiller 309.987 adetle 2 pay aldı.

#10
Foto - Fiyatlar düştü satış rüzgarı esti! İşte 2023 yılında en çok satış yapan araba markaları...

EN ÇOK SUV ALINDI Otomobil pazarı gövde tiplerine göre; Gövde tiplerine göre değerlendirildiğinde ise en çok tercih edilen gövde tipi SUV otomobiller (Q,1 pay, 493.957 adet) oldu. SUV otomobilleri, &,6 pay ve 257.469 adet satış ile Sedan, ,4 pay ve 196.854 adet satış ile H/B otomobiller takip etti.

#11
Foto - Fiyatlar düştü satış rüzgarı esti! İşte 2023 yılında en çok satış yapan araba markaları...

BENZİNLİ OTOMOBİLLER TERCİH EDİLDİ Otomobil pazarı motor tipine göre; Benzinli otomobil satışları 646.385 adetle f,8 pay, dizel otomobil satışları 133.374 adetle ,8 pay, hibrit otomobil satışları 104.804 adetle ,8 pay, elektrikli otomobil satışları 72.179 adetle %7,5 pay ve otogazlı otomobil satışları 10.599 adetle %1,1 pay aldı. Elektrikli otomobil pazarı elektrik motor gücüne göre; 160 kW altındaki elektrikli otomobil satışları 62 artarak r,4 pay, 160 kW üstü elektrikli otomobil satışları 18,1 artarak ',6 pay aldı.

#12
Foto - Fiyatlar düştü satış rüzgarı esti! İşte 2023 yılında en çok satış yapan araba markaları...

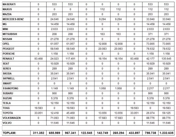
1600cc VE ALTI LİDERLİĞİNİ KORUYOR Otomobil pazarı motor hacmine göre; 1600cc altındaki otomobil satışları Q,7 artarak ?,8 pay, 1600-2000cc aralığındaki otomobil satışları d,5 artarak %0,7 pay, 2000cc üstü otomobil satışları ?,5 artarak %0,3 pay aldı. EN ÇOK SATAN MARKA FIAT OLDU En çok otomobil ve hafif ticari araç satan marka Fiat oldu. Fiat'ı Renault takip etti. Ford üçüncülükle yetindi. Dördüncü Volkswagen beşinci Peugeot, altıncı ise Opel oldu. İşte 2023 yılına ilişkin otomobil markalarının satış rakamları listesi...

x

WhatsApp İhbar Hattı

+90 (553) 313 94 23