• İSTANBUL
  • İMSAK
    00:00
    GÜNEŞ
    00:00
    ÖĞLE
    00:00
    İKİNDİ
    00:00
    AKŞAM
    00:00
    YATSI
    00:00
  • 0.0
  • 0.0
  • 0.0
Sıradışı Analiz Yayınları TYT 6. Deneme Sınavı
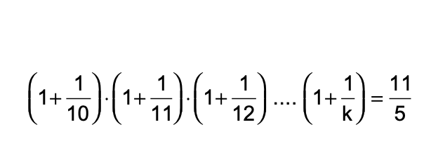
Matematik - 2. Soru

olduğuna göre k tam sayısı kaçtır?

A)

19

B)

20

C)

21

D)

22

E)

23

x

WhatsApp İhbar Hattı

+90 (553) 313 94 23